滤波器威廉希尔官方网站
滤波器的截止频率(F0 )一般地是指幅度响应比通带低3 dB时的频率。对于切比雪夫滤波器, 有时可以定义为幅度响应降至通带以外时的频率。例如, 一个0.1 dB切比雪夫滤波器的F0 可以定义为响应下降》 0.1 dB 时的频率。 如果考察的是实际频率与截止频率之比,而不是实际频率 本身,则衰减曲线的形状(以及相位和延迟曲线,它们定 义着滤波器的时域响应)将是相同的。将滤波器归一化至 1 rad/s,则可开发出一种简单的滤波器设计和比较系统。 在此基础上,用截止频率对滤波器进行缩放,以确定实际滤波器的元件值。
滤波器的品质因数(Q)有时也表示为α,其中: 这通常称为阻尼比。请注意,有时使用ξ,其中:若Q 》 0.707,则滤波器响应中会有些峰值化现象。若Q 《 0.707,F0 处的滚降会稍大;斜率将更平坦些,滚降发生的 时间将提前。对于2极点低通滤波器的峰值化量与Q的关系如图1所示。

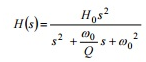
用ωo 和Q改写传递函数H(s):

其中,H0 为通带增益且ωo = 2π F0 。 现在,我们将用该低通原型来设计滤波器。
高通滤波器
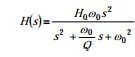
把低通原型的传递公式H(s)的分子改为H0 s2 ,结果将使低 通滤波器变成高通滤波器。该高通滤波器的响应在形状上 与低通滤波器相似,只是频率反相而已。 高通滤波器的传递函数为:

2极点高通滤波器的响应如图2所示。

带通滤波器
把低通原型的分子改为Ho ωo 2 ,结果将把滤波器变成一个 带通函数。 带通滤波器的传递函数为:
(5)
其中:ω为滤波器增益峰值化时的频率(F0 = 2 π ω0 )。 H0 为威廉希尔官方网站 增益,定义为:
H0 = H/Q. (6)
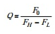
对带通响应来说,Q有特殊意义。它是滤波器的选择性。 定义为:
(7)
其中,FL 和FH响应比最大值相差–3 dB时的频率。 滤波器的带宽(BW)定义为
(8)
请注意,可以证明,谐振频率(F0 )为FL和FH的几何平均 值,这就意味着,F0 在对数尺度上将出现在FL 和FH二者的中点。

另需注意的是,在对数尺度上,带通响应的波裙在F0 左右 始终是对称的。
带通滤波器对各种Q值的响应如图3所示。

这里需要提醒一下。带通滤波器有两种定义方式。窄带情 况为经典定义,如图3所示。
然而,在某些情况下,如果高、低截止频率相差很大,则 带通滤波器采用独立的高通和低通部分进行构造。这里所 说的相差很大是说至少相差2个倍频程(频率×4)。这是使 用宽带的情况。
带阻(陷波)滤波器
把分子改为s2 + ωz 2 ,就可以将滤波器转换成一种带阻或陷 波滤波器。就如带通滤波器一样,如果带阻滤波器的转折 频率之间间隔大于一个倍频程(宽带情况),则可用单独的 低通和高通部分构造。因此,我们将采用以下规范:窄带 带阻滤波器将称为陷波滤波器,宽带带阻滤波器称为带阻 滤波器。
陷波(或带阻)传递函数为:
(9)
陷波滤波器的特性有三种情况,如图4所示。极点频率ω0 与零点频率ωz 的关系决定着滤波器是标准陷波、低通陷 波,还是高通陷波。

如果零点频率等于极点频率,则存在标准陷波。在此例 中,零位于jω平面,其中,定义极点频率的曲线与轴相 交。
当零点频率大于极点频率时,会发生低通陷波。这种情况 下,ωz 位于极点频率曲线之外。对实际应用来说,这意味 着,滤波器在ωz 以下的响应将大于ωz 以上的响应。结果形 成一种椭圆形的低通滤波器。
当零点频率小于极点频率时,会产生高通陷波滤波器。这 种情况下,ωz 位于极点频率曲线之内。对实际应用来说, 这意味着,滤波器在ωz 以下的响应将小于ωz 以上的响应。 结果形成一种椭圆形的高通滤波器。
陷波宽度随Q的变化情况如图5所示。

全部0条评论
快来发表一下你的评论吧 !