RF/无线
随着通讯设备的小型化,集成化与数字化,传统的多次变频式接收机,由于威廉希尔官方网站 复杂,中频通路难以集成,存在镜频干扰、组合干扰,需要在射频前端添加镜频抑制滤波器,提高了设备成本,难以做到小型化。
而使用零中频接收机,存在本振泄露,动态范围偏小等问题。
两者的折中是低中频接收机,部分解决了上述两种设计的不足。由于中频很低,所以镜像频率的抑制不能在射频前端完成,一种方案是采用镜频抑制混频器。本文讨论了一种基于RC网络分相滤波器的镜频抑制混频器,并分析了其参数的偏差对于镜频抑制比的影响。然后,使用这种镜频抑制混频器设计制作了一个直接解调型短波单边带接收机。
二、镜频抑制滤波器
在信号的变频过程中,镜象干扰是影响威廉希尔官方网站 性能的一个很主要的问题,而要实现镜象抑制,就要求较高频率的中频,使用多次变频,同时对镜频抑制滤波器的要求较高,这样就对威廉希尔官方网站 的集成实现带来了很大的困难。
一种可行的方法,即利用低中频和镜频抑制混频器的方法,在将信号降到低中频的同时,去除镜像干扰信号。其实现框图如下:

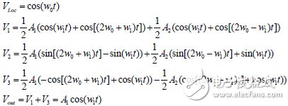
图1
其中,Vlo是本振信号,Vin是射频输入信号,Vout是去除了镜像干扰信号的低频有用信号。+90表示移相90度。数学推导如下:(射频输入信号为用单频信号w0+w1,对应的镜像信号频率为w0-w1)
Vin=A1cos[(w0+w1)t]+ A2cos[(w0-w1)t]
(w0为本振频率,w1为信号的频率,前一项是有用信号,后一项是镜像干扰信号)

从中我们可以看到,如果我们可以保证移相90度的准确性,以及相乘和移相后的输出信号V2和V3的幅度是一样的话,那么镜像干扰信号就可以被完全的去掉了。
幅度的不平衡和相移误差对于镜频抑制比的影响:
经过矢量分析,得到结果如下图所示:横轴为幅度的差异,纵轴为相位差。等高线表示的是镜频抑制比(IRR)。可以看出要使IRR达到-40dB,相位误差应小于正负0.3度,幅度差异小于5%。绘图的Matlab程序见附录1。

图2
实际上,实现宽带的90度移相。可以使用多级全通网络级联逼近的方法[1],其缺点是对于元件的参数极为敏感,为了保证1度的相移误差需要1%的元件精度。

全部0条评论
快来发表一下你的评论吧 !