汽车电子
随着汽车保有量的猛增,市场急需数目多、分布广,零配件质量有保障,技术水平高,诊断正确,设备运用娴熟的高级汽修技师,整车维修也需要具有专业服务水平的新型企业来适应日益发展的汽修市场。所以汽车维修在中国应运而生,远景非常广阔,必将成为中国汽车维修市场的重头戏。汽车实物解剖模型采用客户指定车型的原厂发动机制作,对发动机进行解剖后可以展示发动机的内部结构以及各部件的相对位置;解剖后可以显露的零部件如下:气缸、活塞、凸轮轴和齿轮、进气门、排气门、火花塞、喷油器、进气歧管、排气歧管、发电机、机油泵、水泵带温控装置、节气门体等。
一.配置:完整整车(含发动机、底盘、电器设备)、三相电机、驱动皮带、减速机、安全防护罩等。
二.主要技术参数:
1.对原车原位发动机、变速器、转向器、驱动桥等主要部件进行刨切处理,充分展示汽车各大系统的内外结构。
2.对机械剖面均做高精度打磨处理,切口采用不同颜色的油漆进行喷涂。
3.有三相电机带动减速机,驱动发动机曲轴做低速运转,真实演示发动机到车轮的整个动力传递过程。
4.驱动部分加装安全防护罩。

离心控制分配型喷射泵解剖模型

气缸盖解剖模型

气缸盖解剖模型

带凸轮轴的气缸和气缸解剖模型
奥迪5阀气缸盖解剖模型
奥迪5阀带凸轮轴调整装置的解剖模型
机械式燃油泵解剖模型
电控燃油泵解剖模型
油气混合控制装置解剖模型
空气流量计解剖模型
热膜式空气流量计解剖模型
铂热式空气流量计解剖模型
空气流量计功能模型
热膜式空气流量计功能模型
三元净化器解剖模型
节气门解剖模型
巡航控制起动器解剖模型
感应开关系统解剖模型
直喷式发动机气缸盖解剖模型
柴油机气缸解剖模型
四阀直喷式柴油机气缸盖解剖模型
直列喷射泵解剖模型(RSF)
直列喷射泵解剖模型(RQV)
真空控制喷射泵解剖模型
离心控制喷射泵解剖模型
电控滑阀控制喷油泵解剖模型
ES300自动变速器解剖展示台
本田自动变速器解剖展示台
#p##e#
概念
1、发动机:
是将燃料燃烧释放的热能转变成机械能的机械;凡是将燃料燃烧所产生的热能转变成机械能的机器统称为热力发动机,简称发动机。
2、热力发动机分类:
根据燃料燃烧部位不同分为
(1)外燃机:燃料在发动机外部燃烧的称为外燃机,如蒸汽机、汽轮机等等。
(2)内燃机:燃料直接在发动机内部燃烧的称为内燃机,如柴油机、汽油机等等;
3、内燃机的特点:
内燃机具有热效率高、功率范围广、适应性好、结构紧凑、尺寸小、使用操作方便。启动迅速等优点。所以被广泛地应用于国防、交通运输、工业、农业等方面。目前,拖拉机的发动机均采用内燃机。内燃机与外燃机相比具有许多优点:
(1)热效率高:柴油机的热效率高于其它动力机械。增压柴油机的热效率高达46%;
(2)功率范围广:单机功率为1~50000kw( 船用)能适应多方面的用途;
(3)起动性能好:中小型柴油机通常能在几秒钟内起动,并投入全负荷运转;
(4)运行维护简便:柴油机用水量小(单缸卧式蒸发除外)风冷柴油机根本不用水;
(5)体积功率高、比质量小(功率/质量):高速增压多缸柴油机的体积功率340kw/m3 比质量仅1。6kg/kw;
(6)燃料要求高:不能直接用劣质和固体燃料;
(7)环境污染源:柴油机废气中的有害气体,碳烟以及噪音都是污染环境的公害。
二:发动机分类

内燃机类型很多,通常按不同特征作如下分类:
1、按所用燃料分:汽油机、柴油机、石油液化气机、沼气机等;
2、按循环行程数分:二行程发动机、四行程发动机;
3、按气缸数分:单缸发动机、多缸发动机;
4、按冷却方式分:水冷式发动机、风冷式发动机;
5、按着火方式分:点燃式发动机、压燃式发动机;
6、按转速分:高速发动机、低速发动机;
7、按气缸排列方式分:立式发动机、卧式发动机、V型发动机、对置式发动机;
8、按进气方式: 增压发动机、非增压发动机;

如图所示,内燃机最基本的结构是由汽缸、汽缸盖、进气门、排气门、喷油器、活塞、活塞销、连杆、曲轴、飞轮等组成。
活塞置于气缸中,活塞可在气缸内作往复直线运动,活塞通过连杆和曲轴相连,曲轴可绕其轴线旋转。
1、上止点:活塞离曲轴回转中心最远处,通常指活塞上行到最高位置(图1—1a);
2、下止点:活塞离曲轴回转中心最近处,通常指活塞下行到最低位置(图1—1b );
3、活塞行程(s):上、下两止点间的距离(mm);
4、曲柄半径(R):与连杆下端(及连杆大头)相连的曲柄销中心到曲轴回转中心的距离(mm);显然,s=2R。曲轴每转一周,活塞移动两个行程。

5、气缸工作容积(Vh):活塞从上止点到下止点所扫过的空间容积(L);式中:D—气缸直径(mm)。

6、发动机排量(VL):发动机所有气缸工作容积之和(L)。设发动机的气缸数为i,则

7、燃烧室容积(VC):活塞在上止点时,活塞上方的空间叫燃烧室,它的容积叫燃烧室容积(L);
8、气缸总容积(Va):活塞在下止点时,活塞上方的容积称为气缸总容积(L)。它等于气缸的工作容积与燃烧室容积之和,即

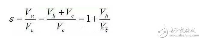
9、压缩比(ε):气缸总容积与燃烧室的比值,即

它表示活塞由下止点运动到上止点时,气缸内的气体被压缩的程度。压缩比越大,压缩终了时气缸内的气体压力和温度就越高。一般汽油机的压缩比为6~10,柴油机的压缩比为15~22。
10、发动机的工作循环:在气缸内进行的每一次将燃料燃烧的热能转化为机械能的一系列连续过程(进气、压缩、做功和排气)称发动机的工作循环。
11、二冲程发动机:活塞往复两个行程完成一个工作循环的称为二冲程发动机。
12、四冲程发动机:活塞往复四个行程完成一个工作循环的称为四冲程发动机。
三、
汽车发动机工作原理图解析
发动机是汽车的动力装置,性能优劣直接影响到汽车性能,发动机的类型很多,结构各异,以适应不同车型的需要。按发动机使用燃料划分,可分成汽油发动机和柴油发动机等类别。按发动机汽缸排列方式划分,可分成直列、V型、水平对置发动机等。发动机排量等于各汽缸工作容积之和,增加缸数可以增加发动机排量,提高发动机输出功率,还可使发动机运转平稳,减少振动与噪声,汽车发动机工作原理动画图解析:
一、直列四缸发动机工作原理动画

6缸以下的发动机汽缸多为单排直列方式,少数6缸发动机也有直列方式的。直列式发动机结构简单,价格便宜,缺点是发动机高度较高,长度较长。
二、V型六缸发动机工作原理动画

V型发动机将所有汽缸分成两组,两组相邻汽缸成一定的夹角布置在一起,可以抵消一部分振动,从侧面看汽缸呈V字形,故称V型发动机。V型发动机运转比较平稳,振动与噪声较小,高度较低,长度较短,能为驾乘舱留出更大的空间,缺点是必须使用两个汽缸盖,结构相对复杂,价格也较贵。中高级轿车上普遍采用V6发动机。V型发动机的汽缸数一般为6、8、10、12、16。据说,有的汽车公司还有V5、V7、V11等非对称式V型发动机。
三、水平对置发动机工作原理动画




全部0条评论
快来发表一下你的评论吧 !