变流、电压变换、逆变威廉希尔官方网站
Buck变换器又称降压变换器、串联开关稳压电源、三端开关型降压稳压器。本文为大家讲解buck变换器的传递函数。

输出电压由d控制,从d到输出电压的传递函数:

用matlab仿真设计调节器,为实现简单并达到良好的调节效果,选用PI调节器,通过添加零极点,使传递函数满足设计要求。调整得到的波特图如下:

由matlab得到调节器的传递函数为:

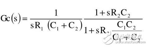
根据K因子法PI调节器的传递函数:

全部0条评论
快来发表一下你的评论吧 !