变流、电压变换、逆变威廉希尔官方网站
Buck变换器由功率级和反馈控制威廉希尔官方网站 组成,功率级包括功率开关和输出滤波器,它将高输入电压变换到低的输出电压,反馈控制威廉希尔官方网站 通过调制功率开关的占空比调节输出电压。本文对buck变换器峰值电流进行分析。
当Buck变换器工作在给定的输入电压和负载动态变化范围内时,流过电感的最大电流就等于在整个动态工作范围内的最大峰值电感电流。根据电感的取值,在整个动态工作范围内,变换器可能均工作在CCM或DCM;也有可能一部分区域工作在CCM,一部分区域工作在DCM。下面对不同工作情形下的最大峰值电感电流展开讨论。
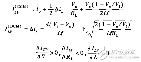
变换器工作于CCM和DCM时,流过电感的峰值电流ILP分别可表为

可见,无论变换器工作在CCM还是DCM,其电感峰值电流ILP均随输入电压Vi的增加而增加,随负载电阻RL和电感L的减小而增加。
在设计BuckDC/DC开关变换器时,电感取值应满足LCB

全部0条评论
快来发表一下你的评论吧 !