变流、电压变换、逆变威廉希尔官方网站
选择Buck变换器电感的主要依据是变换器输出电流的大小。假设Buck变换器的最大额定输出电流为maxoI,最小额定输出电流为minoI。
当Buck变换器的输出电流等于maxoI时,仍然要保证电感工作在非饱和状态,这样电感值才能维持恒定不变。电感值1L的恒定确保了电感上的电流线性上升和下降。
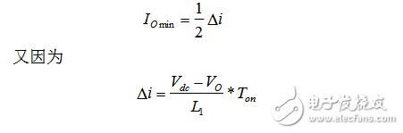
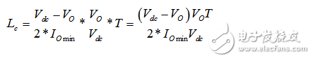
其次,最小额定输出电流minoI和电感值1L决定了Buck变换器的工作状态是否会进入DCM模式。我们知道,当Buck变化器工作在CCM模式时有

且当输出电压OV,输入电压dcV和变换器的工作周期T不变时,导通时间Ton保持不变。由CCM模式和DCM模式的临界条件可知,CCM模式的最小输出电流为

联立三式得Buck变换器CCM模式和DCM模式的临界电感值为

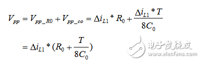
Buck变换器输出电容的选择和纹波电压的大小密切相关。我们知道,实际的电容C1可以等效为如图所示的威廉希尔官方网站 结构。其中电阻R0为等效串连电阻(EquivalentSeriesResistance,ESR),电感L0为等效串连电感(EquivalentSeriesInductance,ESL)。当频率低于300KHz或500KHz时,电容C1的等效串连电感可以忽略,输出纹波电压主要取决于电容C0和等效串连电阻R0。

图 电容C1的等效威廉希尔官方网站 及电容C1上的电流电压变化
由上图可知,电容C1上的电流为

所以,电容C1上的电流最大变化量为1Li,故等效串连电阻R0上产生的电压波动峰峰值为

电容C0上的电压纹波峰峰值为

所以,输出电压OV上的电压纹波ppV为

但从一些厂家的产品手册可知,大多数常用铝电解电容00*RC是一个常数,且等于50~80*10^-6F-~。而Buck变换器的工作频率一般为20~50KHz,所以其周期为20~50*10^-6S。因此,

所以,一般情况下我们可以忽略电容C0产生的纹波电压,那么电压纹波ppV近似为

而电压纹波和电感电流变化量可以由系统参数得到,所以可以求出变量0R的值。然后由常用铝电解电容00*RC是一个常数可以计算出系统应该选用的电容值0C。
1.占空比
(Vi-Vo)*Ton/L=Vo*Toff/L
D=Vo/Vi
D—占空比

L电感量的选取原则使电感纹波电流为电感电流的20%(可根据应用改变)
dIL—电感纹波电流峰峰值
IL_avg—电感电流平均值
IL_peak—电感峰值电流
IL_rms—电感电流有效值
3.肖特基二极管
Id_peak=1.1Io
Vrd=Vi
Id_peak—续流二极管峰值电流
Vrd—续流二级管反向耐压(Ton期间)
4、开关管
Isw_peak=1.1Io
Vsw_peak=Vi
Isw_peak—开关管峰值电流
Vsw_peak—开关管耐压(Toff期间)

电容选取:耐压、纹波电流、电容量
Icin_rms—输入电容的纹波电流有效值
Ico_rms—是输出电容的纹波电流有效值
全部0条评论
快来发表一下你的评论吧 !