硬声

电子学习

模拟电子线路(77)三角波变正弦波威廉希尔官方网站 #硬声创作季

打开App,查看更多精彩内容
相关推荐 评论0
电工技术,plc,正弦
217

电工学:RC正弦波振荡威廉希尔官方网站 #电工

FPGA,uart,QuartusII,正弦
205

[4.3.1]--4.3基于QuartusII的正弦波信号发生器设计#硬声创作季 #FPGA

电力系统,正弦
202

#硬声创作季 #电力 电力系统分析-09 正弦量的相量表示-3

威廉希尔官方网站
维修,正弦
201

#硬声创作季 整流桥是如何将交流电的负半周翻转成正半周的,交流电正弦波形的形成 #零基础学变频空调威廉希尔官方网站 #空

威廉希尔官方网站
分析,正弦
199

#硬声创作季 威廉希尔官方网站 :用相量法分析正弦稳态威廉希尔官方网站

电工技术,正弦
210

电工技术:纯电容正弦交流威廉希尔官方网站 视频#电工

模拟电子线路,放电
203

模拟电子线路(38)运放威廉希尔官方网站 反馈类型判断#硬声创作季

模拟电子线路,报警
202

模拟电子线路(121)火灾报警威廉希尔官方网站 的分析#硬声创作季

电工技术,正弦
201

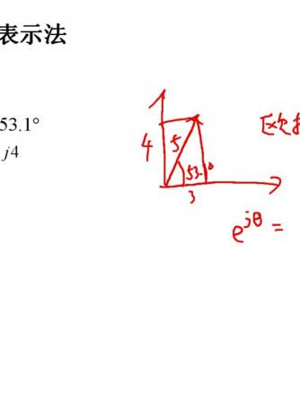
电工技术: 正弦交流电表示方法#电工

模拟电子线路
201

模拟电子线路(62)RC串并联选频威廉希尔官方网站 #硬声创作季

电工技术,正弦
200

电工技术:正弦电压与电流3#电工

威廉希尔官方网站
分析,电工技术,正弦
200

电工学:RC正弦波振荡威廉希尔官方网站 视频#电工

电工技术,元器件,正弦
200

电工学:非正弦量及其分析视频#电工

威廉希尔官方网站
分析,正弦,激励
200

#硬声创作季 #威廉希尔官方网站 分析 威廉希尔官方网站 分析基础-34 简介冲响应、正弦信号激励响应-4

电工技术,正弦
199

电工技术:正弦交流威廉希尔官方网站 的功率#电工

模拟电子线路
199

模拟电子线路(111)稳压器中的安全工作区保护威廉希尔官方网站 #硬声创作季

威廉希尔官方网站
分析,功率,功率器件,正弦,叠加
199

#硬声创作季 #威廉希尔官方网站 分析 威廉希尔官方网站 分析基础-49 瞬时功率、平均功率及正弦稳态响应的叠加-4

电力系统,正弦
199

#硬声创作季 #电力 电力系统分析-09 正弦量的相量表示-2

模拟电子线路
199

[6.3.2]--3-22多级放大威廉希尔官方网站 的性能指标计算