硬声

学习电子

1、MOS管交流小信号等效威廉希尔官方网站 (2)#硬声创作季

打开App,查看更多精彩内容
相关推荐 评论0
半导体器件
838

半导体器件物理:MOS管的最高工作频率#半导体

半导体器件,电工
639

国产源表VS进口源表|是真平替还是天地之差?#源表 #联讯数字源表SMU #国产仪器 #半导体器件 #电工

半导体器件,元器件
317

[5.11.1]--微缩的限制及对策_clip002

半导体器件
300

华民微(上海)电子科技有限公司专注于功率半导体器件的设计、生产和销售的IDM公司

半导体器件
220

[3.2.1]--PN结的形成及特性

半导体器件
684

2.2.1 器件仿真工具Sentaurus TCAD基本功能介绍(1)#硬声创作季

元器件,半导体器件
535

6.4.2 MOSFET的衬底偏置效应(1)#硬声创作季

半导体器件
530

半导体器件物理:功函数对阈值电压的影响#半导体

半导体器件
418

半导体器件物理: 缺陷与缺陷能级#半导体

半导体器件
359

半导体器件物理:PN结的接触电势差#半导体

半导体器件,雪崩击穿
297

半导体器件物理:.雪崩击穿电压#半导体

半导体器件
262

半导体器件物理:共射伏安特性曲线#半导体

半导体器件
241

半导体器件物理:动画:PN结的正向注入#半导体

元器件,半导体器件
240

3、理想MOS电容的CV特性-2(2)#硬声创作季

半导体器件,导电
239

半导体器件物理:动画:P型半导体的导电机制#半导体

元器件,半导体器件
226

5.2.3 MOS结构C-V特性曲线的应用(1)#硬声创作季

半导体器件,仿真,导电
221

半导体器件物理:动画:本征半导体的导电机制#半导体

半导体器件,仿真,雪崩击穿
219

半导体器件物理:雪崩击穿条件#半导体

半导体器件,元器件
218

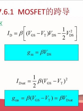
6.5.1 MOSFET的跨导(2)#硬声创作季