硬声

学习硬声知识

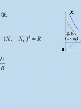
串联谐振(1)#硬声创作季

打开App,查看更多精彩内容
相关推荐 评论0
串联谐振
180

串联谐振(2)#硬声创作季

串联谐振
169

串联谐振(3)#硬声创作季

串联谐振
157

二极管伏安特性的测定(1)#硬声创作季

串联谐振
152

串联谐振(3)#硬声创作季

串联谐振
152

串联谐振(2)#硬声创作季

行业资讯,行业芯事
66

日媒:丰田决定在上海建厂谋求在中国市场“重新崛起”

时事热点,行业芯事
1662

很神奇的门票 Wave Summit+2021深度学习开发者峰会#深度学习 #机器学习 #人工智能 #开发者

经验分享,行业芯事,物联网,单片机
1846

#RTT设计大赛 远程蜂箱检测系统 @jf_15811252

行业资讯,行业芯事
125

LG Energy solution 携手高通打造电动汽车“最强大脑”

经验分享,行业芯事,EDA工具,PCB设计
1743

高速高密度PCB设计-第1讲 #pcb设计 #硬声新人计划 #威廉希尔官方网站 实战大讲堂 #

行业芯事,经验分享,时事热点,智能医疗,医疗,医疗健康
1.0w

#第七届中国硬件创新创客大赛 箴石医疗创始人李卓:赋能医院手术能力,提升医院手术效率

单片机,PID算法,电子设计大赛
1535

#全国大学生电子设计大赛 2019年电赛,加入pid算法的自动寻靶。#单片机 #嵌入式开发

音箱/音响,全志
2319

全志 V3s 功放

机器人,嵌入式,人工智能,仿真系统
1887

#机器人 华南虎战队开源Vrep机器人仿真系统-联合Vscode

经验分享,行业芯事,物联网,单片机
3403

#单片机 #电子制作 #Arduino #ESP32 改造一个坏的xbox手柄

嵌入式,RISC-V
1735

#硬声新人计划 60帧,丝滑#嵌入式开发 #RISC-V #linux

物联网,单片机
3027

#ESP32 #单片机 #语音识别 esp32s3语音识别 esp32-s3-box功能

PCB设计,经验分享,行业芯事
4967

经常会遇到把孔设计到焊盘上的,一般都会建议塞孔,那绿油塞孔和树脂塞孔有什么区别呢?#威廉希尔官方网站 板 #pcb

altium,EDA工具
3701

#Altium故事 看看#Altium 如何帮助脊髓损伤患者重新站立行走